题目内容
已知{an}为等差数列,且a3=-6,a6=0.(Ⅰ)求{an}的通项公式;
(Ⅱ)若等比数列{bn}满足b1=-8,b2=a1+a2+a3,求数列{bn}的前n项和公式.
【答案】分析:(Ⅰ)设出等差数列的公差为d,然后根据第三项为-6,第六项为0利用等差数列的通项公式列出方程解出a1和d即可得到数列的通项公式;
(Ⅱ)根据b2=a1+a2+a3和an的通项公式求出b2,因为{bn}为等比数列,可用
求出公比,然后利用首项和公比写出等比数列的前n项和的公式.
解答:解:(Ⅰ)设等差数列{an}的公差d.
因为a3=-6,a6=0
所以
解得a1=-10,d=2
所以an=-10+(n-1)•2=2n-12
(Ⅱ)设等比数列{bn}的公比为q
因为b2=a1+a2+a3=-24,b1=-8,
所以-8q=-24,即q=3,
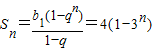
所以{bn}的前n项和公式为
点评:考查学生会根据条件求出等差数列的通项公式和等比数列的前n项和的公式,此题是一道基础题.
(Ⅱ)根据b2=a1+a2+a3和an的通项公式求出b2,因为{bn}为等比数列,可用
解答:解:(Ⅰ)设等差数列{an}的公差d.
因为a3=-6,a6=0
所以
所以an=-10+(n-1)•2=2n-12
(Ⅱ)设等比数列{bn}的公比为q
因为b2=a1+a2+a3=-24,b1=-8,
所以-8q=-24,即q=3,
所以{bn}的前n项和公式为
点评:考查学生会根据条件求出等差数列的通项公式和等比数列的前n项和的公式,此题是一道基础题.
练习册系列答案
相关题目