题目内容
已知函数
的图象过坐标原点O,且在点(-1,f(-1))处的切线的斜率是-5.
(Ⅰ)求实数b,c的值;
(Ⅱ)求f(x)在区间[-1,2]上的最大值;
(Ⅲ)对任意给定的正实数a,曲线y=f(x)上是否存在两点P,Q,使得△POQ是以O为直角顶点的直角三角形,且此三角形斜边中点在y轴上?说明理由.
(Ⅰ)求实数b,c的值;
(Ⅱ)求f(x)在区间[-1,2]上的最大值;
(Ⅲ)对任意给定的正实数a,曲线y=f(x)上是否存在两点P,Q,使得△POQ是以O为直角顶点的直角三角形,且此三角形斜边中点在y轴上?说明理由.
解:(Ⅰ)当x<1时,
,
依题意,得
,即
,
解得b=c=0.
(Ⅱ)由(Ⅰ)知,
,
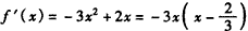
①当-1≤x<1时,
,
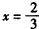
令f′(x)=0得x=0或
,
x变化时,f′(x),f(x)的变化情况如下表:

又
,
∴f(x)在[-1,1)上的最大值为2;
②当1≤x≤2时,f(x)=alnx,
当a≤0时,f(x)≤0;
当a>0时,f(x)在[1,2]上单调递增,
∴f(x)在[1,2]的最大值为aln2;
综上所述,当aln2≤2,即
时,f(x)在[-1,2]上的最大值为2;
当aln2>2,即
时,f(x)在[-1,2]上的最大值为aln2。
(Ⅲ)假设曲线y=f(x)上存在两点P,Q满足题设要求,则点P,Q只能在y轴的两侧,
不妨设P(t,f(t))(t>0),则
,显然t≠1,
∵△POQ为直角三角形,
∴
,即
,①
是否存在P,Q等价于方程①是否有解,
若0<t<1,则f(t)=-t3+t2,代入①式得,-t2+(-t3+t2)(t3+t2)=0,
即t4-t2+1=0,而此方程无实数解,因此t>1,
∴f(t)=alnt,代入①式得,-t2+(alnt)(t3+t2)=0,即
=(t+1)lnt,(*)
考察函数h(x)=(x+1)lnx(x≥1),则h′(x)=lnx+
+1>0,
∴h(x)在[1,+∞)上单调递增,
∵t>1,
∴h(t)>h(1)=0,当t→+∞时,h(t)→+∞,
∴h(t)的取值范围为(0,+∞),
∴对于a>0,方程(*)总有解,即方程①总有解,
因此对任意给定的正实数a,曲线y=f(x)上总存在两点P,Q使得△POQ是以点O为直角顶点的直角三角形,且此三角形斜边中点在y轴上。
依题意,得
解得b=c=0.
(Ⅱ)由(Ⅰ)知,
①当-1≤x<1时,
令f′(x)=0得x=0或
x变化时,f′(x),f(x)的变化情况如下表:
又
∴f(x)在[-1,1)上的最大值为2;
②当1≤x≤2时,f(x)=alnx,
当a≤0时,f(x)≤0;
当a>0时,f(x)在[1,2]上单调递增,
∴f(x)在[1,2]的最大值为aln2;
综上所述,当aln2≤2,即
当aln2>2,即
(Ⅲ)假设曲线y=f(x)上存在两点P,Q满足题设要求,则点P,Q只能在y轴的两侧,
不妨设P(t,f(t))(t>0),则
∵△POQ为直角三角形,
∴
是否存在P,Q等价于方程①是否有解,
若0<t<1,则f(t)=-t3+t2,代入①式得,-t2+(-t3+t2)(t3+t2)=0,
即t4-t2+1=0,而此方程无实数解,因此t>1,
∴f(t)=alnt,代入①式得,-t2+(alnt)(t3+t2)=0,即
考察函数h(x)=(x+1)lnx(x≥1),则h′(x)=lnx+
∴h(x)在[1,+∞)上单调递增,
∵t>1,
∴h(t)>h(1)=0,当t→+∞时,h(t)→+∞,
∴h(t)的取值范围为(0,+∞),
∴对于a>0,方程(*)总有解,即方程①总有解,
因此对任意给定的正实数a,曲线y=f(x)上总存在两点P,Q使得△POQ是以点O为直角顶点的直角三角形,且此三角形斜边中点在y轴上。
练习册系列答案
相关题目
已知函数
的图象过坐标原点O,且在点
处的切线的斜率是
.
(Ⅰ)求实数
的值;
(Ⅱ)求
在区间
上的最大值;
(Ⅲ)对任意给定的正实数
,曲线
上是否存在两点P、Q,使得
是以O为直角顶点的直角三角形,且此三角形斜边中点在
轴上?说明理由.
【解析】第一问当
时,
,则
。
依题意得:
,即
解得
第二问当
时,
,令
得
,结合导数和函数之间的关系得到单调性的判定,得到极值和最值
第三问假设曲线
上存在两点P、Q满足题设要求,则点P、Q只能在
轴两侧。
不妨设
,则
,显然![]()
∵
是以O为直角顶点的直角三角形,∴![]()
即
(*)若方程(*)有解,存在满足题设要求的两点P、Q;
若方程(*)无解,不存在满足题设要求的两点P、Q.
(Ⅰ)当
时,
,则
。
依题意得:
,即
解得![]()
(Ⅱ)由(Ⅰ)知,![]()
①当
时,
,令
得![]()
当
变化时,
的变化情况如下表:
|
|
|
0 |
|
|
|
|
|
— |
0 |
+ |
0 |
— |
|
|
|
极小值 |
单调递增 |
极大值 |
|
又
,
,
。∴
在
上的最大值为2.
②当
时,
.当
时,
,
最大值为0;
当
时,
在
上单调递增。∴
在
最大值为
。
综上,当
时,即
时,
在区间
上的最大值为2;
当
时,即
时,
在区间
上的最大值为
。
(Ⅲ)假设曲线
上存在两点P、Q满足题设要求,则点P、Q只能在
轴两侧。
不妨设
,则
,显然![]()
∵
是以O为直角顶点的直角三角形,∴![]()
即
(*)若方程(*)有解,存在满足题设要求的两点P、Q;
若方程(*)无解,不存在满足题设要求的两点P、Q.
若
,则
代入(*)式得:![]()
即
,而此方程无解,因此
。此时
,
代入(*)式得:
即
(**)
令
,则![]()
∴
在
上单调递增, ∵
∴
,∴
的取值范围是
。
∴对于
,方程(**)总有解,即方程(*)总有解。
因此,对任意给定的正实数
,曲线
上存在两点P、Q,使得
是以O为直角顶点的直角三角形,且此三角形斜边中点在
轴上