题目内容

已知数列  的前项和是 

(Ⅰ)求数列的通项公式;

(Ⅱ)记,求数列的前项的和    .

 

【答案】

(Ⅰ);(Ⅱ).

【解析】

试题分析:(Ⅰ)一般数列问题中出现数列前的和与其项时,则可利用关系找出数列的递推关系,本题可从此入手,得出数列递推关系,根据数列特点再求出数列的通项公式;(Ⅱ)由(Ⅰ)知,数列是等比数列,很明显则可分组求和,即分别求出一个等比数列前项的和与一个等差数列前项的和,再相加.

试题解析:(Ⅰ)当时,  ,,∴;              1分

时, ,                                                 2分

两式相减得 ,

,又

 ,                                                                4分

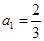
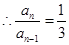
∴数列是以为首项,为公比的等比数列.                        

 .                                                                              6分

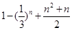
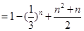
(Ⅱ)由(Ⅰ)知 ,                                                                    7分

                  9分

                                12分

考点:等差数列、等比数列.

 

练习册系列答案
相关题目

违法和不良信息举报电话:027-86699610 举报邮箱:58377363@163.com

精英家教网