题目内容
已知⊙O:x2+y2=1和定点A(2,1),由⊙O外一点P(a,b)向⊙O引切线PQ,切点为Q,且满足|PQ|=|PA|.(1)求实数a,b间满足的等量关系;
(2)求线段PQ长的最小值;
(3)若以P为圆心所作的⊙P与⊙O有公共点,试求半径最小值时⊙P的方程.
【答案】分析:(1)由勾股定理可得 PQ2=OP2-OQ2=PA2,即 (a2+b2)-1=(a-2)2+(b-1)2,化简可得a,b间满足的等量关系.
(2)由于 PQ=
=
,利用二次函数的性质求出它的最小值.
(3)设⊙P 的半径为R,可得|R-1|≤PO≤R+1.利用二次函数的性质求得OP=
的最小值为
,此时,求得b=-2a+3=
,R取得最小值为
-1,从而得到圆的标准方程.
解答:解:(1)连接OQ,∵切点为Q,PQ⊥OQ,由勾股定理可得 PQ2=OP2-OQ2.
由已知PQ=PA,可得 PQ2=PA2,即 (a2+b2)-1=(a-2)2+(b-1)2.
花简可得 2a+b-3=0.
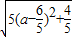
(2)∵PQ=
=
=
=
,
故当a=
时,线段PQ取得最小值为
.
(3)若以P为圆心所作的⊙P 的半径为R,由于⊙O的半径为1,∴|R-1|≤PO≤R+1.
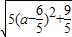
而OP=
=
=
,故当a=
时,PO取得最小值为
,
此时,b=-2a+3=
,R取得最小值为
-1.
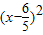
故半径最小时⊙P 的方程为
+
=
.
点评:本题主要考查求圆的标准方程的方法,圆的切线的性质,两点间的距离公式以及二次函数的性质应用,属于中档题.
(2)由于 PQ=
(3)设⊙P 的半径为R,可得|R-1|≤PO≤R+1.利用二次函数的性质求得OP=
解答:解:(1)连接OQ,∵切点为Q,PQ⊥OQ,由勾股定理可得 PQ2=OP2-OQ2.
由已知PQ=PA,可得 PQ2=PA2,即 (a2+b2)-1=(a-2)2+(b-1)2.
花简可得 2a+b-3=0.
(2)∵PQ=
故当a=
(3)若以P为圆心所作的⊙P 的半径为R,由于⊙O的半径为1,∴|R-1|≤PO≤R+1.
而OP=
此时,b=-2a+3=
故半径最小时⊙P 的方程为
点评:本题主要考查求圆的标准方程的方法,圆的切线的性质,两点间的距离公式以及二次函数的性质应用,属于中档题.
练习册系列答案
相关题目