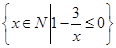
题目内容

集合,则集合的个数为(    )

A.0    B.2     C.4    D.8

 

【答案】

C

【解析】

试题分析:法一:从0开始逐一验证自然数可知,要使中必含有元素1,可以有元素2,3,所以只有.

法二:

,所以集合S中必含元素1,可以是,共4个.故选

考点:1.分式不等式的解法;2.对数不等式的解法.

 

练习册系列答案
相关题目

违法和不良信息举报电话:027-86699610 举报邮箱:58377363@163.com

精英家教网