题目内容
已知f1(x)=x+1,且fn(x)=f1[fn-1(x)],(n≥2,n∈N+)(1)求f2(x),f3(x)的表达式,猜想fn(x)的表达式,并用数学归纳法证明;
(2)若关于x的函数
【答案】分析:(1)利用f1(x)=x+1,且fn(x)=f1[fn-1(x)],计算可得f2(x),f3(x)的表达式,猜想fn(x)=x+n,再用数学归纳法证明即可;
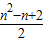
(2)由fn(x)=x+n,可得f1(x)+f2(x)+…+fn(x)=nx+
,再利用配方法确定函数在区间(-∞,-1]上的最小值为12,即可求得n的值.
解答:(1)解:f2(x)=f1[f1(x)]=x+2,f3(x)=f1[f2(x)]=x+3,
猜想fn(x)=x+n
证明:①当n=1时,f1(x)=x+1,成立;
②假设n=k时成立,即fk(x)=x+k,则n=k+1时,fk+1(x)=f1[fk(x)]=x+k+1
∴n=k+1时,结论成立
由①②可知fn(x)=x+n;
(2)解:∵fn(x)=x+n
∴f1(x)+f2(x)+…+fn(x)=nx+
∴g(x)=x2+f1(x)+f2(x)+…+fn(x)=x2+nx+
=(
)2+
①当-
>-1,即n<2时,函数在(-∞,-1]上为减函数,∴x=-1时,g(x)min=
=12,方程无正整数解舍去;
②当-
≤-1,即n≥2时,x=-
时,g(x)min=
=12,∴n=6或n=-8(舍去)
综上,n=6.
点评:本题考查学生的计算能力,考查数学归纳法,考查函数的最值,属于中档题.
(2)由fn(x)=x+n,可得f1(x)+f2(x)+…+fn(x)=nx+
解答:(1)解:f2(x)=f1[f1(x)]=x+2,f3(x)=f1[f2(x)]=x+3,
猜想fn(x)=x+n
证明:①当n=1时,f1(x)=x+1,成立;
②假设n=k时成立,即fk(x)=x+k,则n=k+1时,fk+1(x)=f1[fk(x)]=x+k+1
∴n=k+1时,结论成立
由①②可知fn(x)=x+n;
(2)解:∵fn(x)=x+n
∴f1(x)+f2(x)+…+fn(x)=nx+
∴g(x)=x2+f1(x)+f2(x)+…+fn(x)=x2+nx+
①当-
②当-
综上,n=6.
点评:本题考查学生的计算能力,考查数学归纳法,考查函数的最值,属于中档题.
练习册系列答案
相关题目