题目内容
设Sn为数列{an}的前n项和,若
(n∈N*)是非零常数,则称该数列为“和等比数列”,
(1)若数列{
}是首项为2,公比为4的等比数列,试判断数列{bn}是否为“和等比数列”;
(2)若数列{cn}是首项为c1,公差为d(d≠0)的等差数列,且数列{cn}是“和等比数列”,试探究d与c1之间的等量关系.
(1)若数列{
(2)若数列{cn}是首项为c1,公差为d(d≠0)的等差数列,且数列{cn}是“和等比数列”,试探究d与c1之间的等量关系.
解:(1)因为数列
是首项为2,公比为4的等比数列,
所以
,
因此
;
设数列{bn}的前n项和为Tn,则
,所以
,
因此数列{bn}为“和等比数列”.
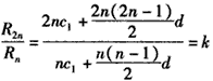
(2)设数列{cn}的前n项和为Rn,且
,
因为数列{cn}是等差数列,所以
,
所以
对于n∈N*都成立,
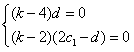
化简得,(k-4)dn+(k-2)(2c1-d)=0,
则
,
因为d≠0,所以k=4,d=2c1,
因此d与c1之间的等量关系为d=2c1.
所以
因此
设数列{bn}的前n项和为Tn,则
因此数列{bn}为“和等比数列”.
(2)设数列{cn}的前n项和为Rn,且
因为数列{cn}是等差数列,所以
所以
化简得,(k-4)dn+(k-2)(2c1-d)=0,
则
因为d≠0,所以k=4,d=2c1,
因此d与c1之间的等量关系为d=2c1.
练习册系列答案
相关题目