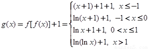
题目内容
已知函数
则函数
的零点个数(
)
A.2 B.3 C.4 D.5
【答案】
C
【解析】
试题分析:由
得:
.由
得:
.所以
;此时,每一段都是单调递增的,且
,
,
.由此可作出其简图如下图所示(实线部分):
![]()
由图可知,该函数有4个零点.
考点:1、分段函数;2、函数的零点.
练习册系列答案
相关题目