题目内容

设a>0,是R上的偶函数

(1)求a的值;

(2)证明f(x)在(0,+¥ )上是增函数.

答案:略
解析:

(1)R上的偶函数,

f(x)f(x)=0

不可能恒为“0

时等式恒成立,a=1

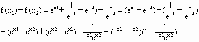
(2)(0,+¥ )上任取

,即f(x)(0,+¥ )上为增函数.


练习册系列答案
相关题目

违法和不良信息举报电话:027-86699610 举报邮箱:58377363@163.com

精英家教网