题目内容
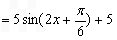
已知设函数 (Ⅰ)当,求函数的值域;(Ⅱ)当时,若="8," 求函数的值;
已知设函数 (Ⅰ)当,求函数的值域;
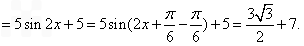
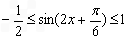
(Ⅱ)当时,若="8," 求函数的值;
已知设函数
(Ⅰ)当,求函数的值域;
(Ⅰ)当,求函数的的值域;
(Ⅱ)当时,若=8, 求函数的值;
(本小题14分)
已知,函数,
(Ⅰ)当=2时,写出函数的单调递增区间;
(Ⅱ)当>2时,求函数在区间上的最小值;
(Ⅲ)设,函数在上既有最大值又有最小值,请分别求出的取值范围(用表示)