题目内容
已知cosα=(Ⅰ)求tan2α的值;
(Ⅱ)求β.
【答案】分析:(1)欲求tan2α的值,由二倍角公式知,只须求tanα,欲求tanα,由同角公式知,只须求出sinα即可,故先由题中coaα的求出sinα 即可;
(2)欲求角,可通过求其三角函数值结合角的范围得到,这里将角β配成β=α-(α-β),利用三角函数的差角公式求解.
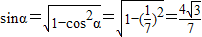
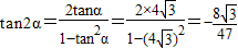
解答:解:(Ⅰ)由
,得
∴
,于是
(Ⅱ)由0<β<α<
,得
,
又∵
,∴
由β=α-(α-β)得:cosβ=cos[α-(α-β)]=cosαcos(α-β)+sinαsin(α-β)=
所以
.
点评:本题考查三角恒等变形的主要基本公式、三角函数值的符号,已知三角函数值求角以及计算能力.
(2)欲求角,可通过求其三角函数值结合角的范围得到,这里将角β配成β=α-(α-β),利用三角函数的差角公式求解.
解答:解:(Ⅰ)由
∴
(Ⅱ)由0<β<α<
又∵
由β=α-(α-β)得:cosβ=cos[α-(α-β)]=cosαcos(α-β)+sinαsin(α-β)=
所以
点评:本题考查三角恒等变形的主要基本公式、三角函数值的符号,已知三角函数值求角以及计算能力.
练习册系列答案
相关题目