题目内容
各项均为正数的等比数列{an}的前n项和为Sn,若Sn=2,S3n=14,则S4n等于( )A.16
B.26
C.30
D.80
【答案】分析:设各项均为正数的等比数列{an}的公比等于q,由题意可得
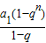
=2,
=14,解得 qn=2,
=-2,从而得到 S4n =
(1-q4n) 的值.
解答:解:设各项均为正数的等比数列{an}的公比等于q,
∵Sn=2,S3n=14,
∴
=2,
=14,解得 qn=2,
=-2.
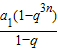
∴S4n =
(1-q4n)=-2(1-16)=30,
故选C.
点评:本题主要考查等比数列的前n项和公式的应用,求出 qn=2,
=-2,是解题的关键,属于中档题.
解答:解:设各项均为正数的等比数列{an}的公比等于q,
∵Sn=2,S3n=14,
∴
∴S4n =
故选C.
点评:本题主要考查等比数列的前n项和公式的应用,求出 qn=2,
练习册系列答案
相关题目