题目内容
已知抛物线y2=-x与直线y=k(x+1)相交于A、B两点.(1)求证:OA⊥OB;
(2)当△OAB的面积等于
【答案】分析:(1)证明OA⊥OB可有两种思路:①证kOA•kOB=-1;②取AB中点M,证|OM|=
|AB|.
(2)求k的值,关键是利用面积建立关于k的方程,求△AOB的面积也有两种思路:①利用S△OAB=
|AB|•h(h为O到AB的距离);②设A(x1,y1)、B(x2,y2),直线和x轴交点为N,利用S△OAB=
|AB|•|y1-y2|.
解答:解:(1)由方程y2=-x,y=k(x+1)
消去x后,整理得
ky2+y-k=0.
设A(x1,y1)、B(x2,y2),由韦达定理y1•y2=-1.
∵A、B在抛物线y2=-x上,
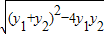
∴y12=-x1,y22=-x2,y12•y22=x1x2.
∵kOA•kOB=
•
=
=
=-1,
∴OA⊥OB.
(2)设直线与x轴交于N,又显然k≠0,
∴令y=0,则x=-1,即N(-1,0).
∵S△OAB=S△OAN+S△OBN
=
|ON||y1|+
|ON||y2|
=
|ON|•|y1-y2|,
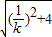
∴S△OAB=
•1•
=
.
∵S△OAB=
,
∴
=
.解得k=±
.
点评:本题考查的知识点是直线与圆锥曲线的关系,抛物线的应用,其中联立方程、设而不求、韦达定理三者综合应用是解答此类问题最常用的方法,但在解方程组时,是消去x还是消去y,这要根据解题的思路去确定.当然,这里消去x是最简捷的.
(2)求k的值,关键是利用面积建立关于k的方程,求△AOB的面积也有两种思路:①利用S△OAB=
解答:解:(1)由方程y2=-x,y=k(x+1)
消去x后,整理得
ky2+y-k=0.
设A(x1,y1)、B(x2,y2),由韦达定理y1•y2=-1.
∵A、B在抛物线y2=-x上,
∴y12=-x1,y22=-x2,y12•y22=x1x2.
∵kOA•kOB=
∴OA⊥OB.
(2)设直线与x轴交于N,又显然k≠0,
∴令y=0,则x=-1,即N(-1,0).
∵S△OAB=S△OAN+S△OBN
=
=
∴S△OAB=
=
∵S△OAB=
∴
点评:本题考查的知识点是直线与圆锥曲线的关系,抛物线的应用,其中联立方程、设而不求、韦达定理三者综合应用是解答此类问题最常用的方法,但在解方程组时,是消去x还是消去y,这要根据解题的思路去确定.当然,这里消去x是最简捷的.
练习册系列答案
相关题目