题目内容

如图,在直三棱柱ABC—A1B1C1,AB=AC=1,∠BAC=90°,连结A1B与∠A1BC=60°.

(Ⅰ)求证:AC⊥A1B;

(Ⅱ)设D是BB1的中点,求三棱锥D-A1BC1的体积.

 

【答案】

(Ⅰ)详见解析;(Ⅱ)

【解析】

试题分析:(Ⅰ)借助直三棱柱的性质和线面垂直的性质定理证明平面,然后利用线面垂直的性质证明;(Ⅱ)证明是正三角形,由求解.

试题解析:(Ⅰ) 三棱柱是直三棱柱,

平面,.

 又,平面

平面,

平面,从而.       (4分)

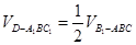
(Ⅱ)连结,设

,从而是正三角形,

,            (8分)

的中点.

.       (12分)

考点:三棱柱的性质,空间中的线线、线面垂直,三棱锥的体积.

 

练习册系列答案
相关题目

违法和不良信息举报电话:027-86699610 举报邮箱:58377363@163.com

精英家教网