题目内容
已知F1,F2分别是椭圆(1)求此椭圆的方程;
(2)若
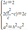
【答案】分析:(1)由
,知
,由此能求出椭圆方程.
(2)由
,知A,B,N三点共线,N(-2,0),设直线方程为y=k(x-2),k>0,由
,得
,由
(k>0),解得
.设A(x1,y1),B(x2,y2),则
,由
,知
,
,由此能求出k.
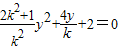
解答:解:(1)由于
,
∴
,解得
,
∴椭圆方程为
.
(2)∵
,∴A,B,N三点共线,
而N(-2,0),设直线方程为y=k(x+2),k>0,
由
,得
,
由
(k>0),解得
.
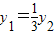
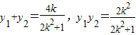
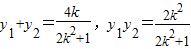
设A(x1,y1),B(x2,y2),则
,
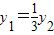
∵
,∴
,
∴
,
∴
,
∴
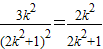
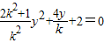
,消去y,得
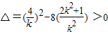
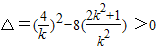
,
∴
,
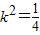
解得k=
或k=-
(舍)
故k=
.
点评:本题主要考查直线与圆锥曲线的综合应用能力,具体涉及到轨迹方程的求法及直线与椭圆的相关知识,解题时要注意合理地进行等价转化.
(2)由
解答:解:(1)由于
∴
∴椭圆方程为
(2)∵
而N(-2,0),设直线方程为y=k(x+2),k>0,
由
由
设A(x1,y1),B(x2,y2),则
∵
∴
∴
∴
∴
解得k=
故k=
点评:本题主要考查直线与圆锥曲线的综合应用能力,具体涉及到轨迹方程的求法及直线与椭圆的相关知识,解题时要注意合理地进行等价转化.
练习册系列答案
相关题目