题目内容
设x1、x2(x1≠x2)是函数f(x)=ax3+bx2-a2x(a>0)的两个极值点,
(Ⅰ)若x1=-1,x2=2,求函数f(x)的解析式;
(Ⅱ)若|x1|+|x2|=2
,求b的最大值;
(Ⅲ)设函数g(x)=f′(x)-a(x-x1),x∈(x1,x2),当x2=a时,求|g(x)|的最大值。
(Ⅰ)若x1=-1,x2=2,求函数f(x)的解析式;
(Ⅱ)若|x1|+|x2|=2
(Ⅲ)设函数g(x)=f′(x)-a(x-x1),x∈(x1,x2),当x2=a时,求|g(x)|的最大值。
解:(1)∵
,
∴
,
依题意有-1和2是方程
的两根,
∴
,
∴
,(经检验,适合)
(2)∵
,
依题意,
是方程f′(x)=0的两个根,
∵
,
∴
,
∴
,
∴
,
∵
,
∴
,
设
,
由
,
即:函数p(a)在区间(0,4]上是增函数,在区间[4,6]上是减函数,
∴当a=4时,p(a)有极大值为96,
∴p(a)在(0,6]上的最大值是96,
∴b的最大值为
。
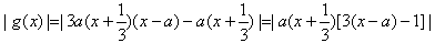
(3)证明:∵
是方程f′(x)=0的两根,
∴
,
∵
,
∴
,
∴
,
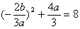
∵
,
∴
,

,
∴
,当且仅当
时取等号。
∴
依题意有-1和2是方程
∴
∴
(2)∵
依题意,
∵
∴
∴
∴
∵
∴
设
由
即:函数p(a)在区间(0,4]上是增函数,在区间[4,6]上是减函数,
∴当a=4时,p(a)有极大值为96,
∴p(a)在(0,6]上的最大值是96,
∴b的最大值为
(3)证明:∵
∴
∵
∴
∴
∵
∴
∴
练习册系列答案
相关题目