题目内容
已知双曲线9y2-16x2=144,则其渐近线方程 y=±
【答案】分析:把双曲线9y2-16x2=144化成标准方程
,得到双曲线9y2-16x2=144的渐近线方程为
,由此能求出结果.
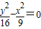
解答:解:把双曲线9y2-16x2=144化成标准方程为
,
∴双曲线9y2-16x2=144的渐近线方程为
,
整理,得y=±
x.
故答案为:y=±
x.
点评:本题考查双曲线的渐近线方程的求法,是基础题.解题时要认真审题,注意把双曲线方程转化为标准方程.
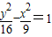
解答:解:把双曲线9y2-16x2=144化成标准方程为
∴双曲线9y2-16x2=144的渐近线方程为
整理,得y=±
故答案为:y=±
点评:本题考查双曲线的渐近线方程的求法,是基础题.解题时要认真审题,注意把双曲线方程转化为标准方程.
练习册系列答案
相关题目
已知双曲线9y2-m2x2=1(m>0)的一个顶点到它的一条渐近线的距离为
,则m=( )
| 1 |
| 5 |
| A、1 | B、2 | C、3 | D、4 |