题目内容
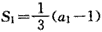
已知数列{an}的前n项和为Sn,Sn=
(an-1)(n∈N*),
(1)求a1,a2的值;
(2)证明数列{an}是等比数列,并求Sn.
(1)求a1,a2的值;
(2)证明数列{an}是等比数列,并求Sn.
解:(1)由
,得
,
由
,即
,
∴
,得
。
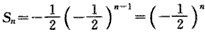
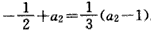
(2)∵
,
∴

,
显然an≠0,
∴
,
∴{an}是以
为公比的等比数列,
故
。
由
∴
(2)∵
∴
显然an≠0,
∴
∴{an}是以
故
练习册系列答案
相关题目
已知数列{an}的前n项和Sn=an2+bn(a、b∈R),且S25=100,则a12+a14等于( )
| A、16 | B、8 | C、4 | D、不确定 |