题目内容
”m>n>0”是”方程mx2+ny2=1表示焦点在y轴上的椭圆”的( )A.充分而不必要条件
B.必要而不充分条件
C.充要条件
D.既不充分也不必要条件
【答案】分析:将方程mx2+ny2=1转化为
,然后根据椭圆的定义判断.
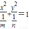
解答:解:将方程mx2+ny2=1转化为
,
根据椭圆的定义,要使焦点在y轴上必须满足
,且
,即m>n>0
反之,当m>n>0,可得出
>0,此时方程对应的轨迹是椭圆
综上证之,”m>n>0”是”方程mx2+ny2=1表示焦点在y轴上的椭圆”的充要条件
故选C.
点评:本题考查椭圆的定义,难度不大,解题认真推导.
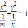
解答:解:将方程mx2+ny2=1转化为
根据椭圆的定义,要使焦点在y轴上必须满足
反之,当m>n>0,可得出
综上证之,”m>n>0”是”方程mx2+ny2=1表示焦点在y轴上的椭圆”的充要条件
故选C.
点评:本题考查椭圆的定义,难度不大,解题认真推导.
练习册系列答案
相关题目