题目内容
等比数列{an}的各项均为正数,且2a1+3a2=1,a32=9a2a6,
(Ⅰ)求数列{an}的通项公式;
(Ⅱ)设bn=log3a1+log3a2+…+log3an,求数列
的前n项和。
(Ⅰ)求数列{an}的通项公式;
(Ⅱ)设bn=log3a1+log3a2+…+log3an,求数列
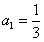
解:(Ⅰ)设数列{an}的公比为q,由
得
,
所以
,
由条件可知各项均为正数,故
,
由
得
,
所以
,
故数列{an}的通项式为an=
。
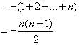
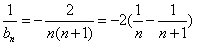
(Ⅱ)

故
,
∴
,
所以数列
的前n项和为
。
所以
由条件可知各项均为正数,故
由
所以
故数列{an}的通项式为an=
(Ⅱ)
故
∴
所以数列
练习册系列答案
相关题目