题目内容
设关于x的函数f(x)=mx2﹣(2m2+4m+1)x+(m+2)lnx,其中m为R上的常数,若函数f(x)在x=1处取得极大值0.
(1)求实数m的值;
(2)若函数f(x)的图象与直线y=k有两个交点,求实数k的取值范围;
(3)设函数
,若对任意的x∈[1,2],2f(x)≥g(x)+4x﹣2x2恒成立,求实数p的取值范围.
(1)求实数m的值;
(2)若函数f(x)的图象与直线y=k有两个交点,求实数k的取值范围;
(3)设函数
解:(1)
=![]()
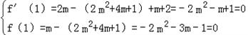
因为函数f(x)在x=1处取得极大值0
所以,![]()
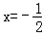
解m=﹣1
(2)由(1)知
,
令f '(x)=0得x=1或
(舍去)
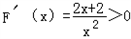
所以函数f(x)在区间(0,1)上单调递增,在区间(1,+∞)上单调递减,
所以,当x=1时,函数f(x)取得最大值,f(1)=ln1﹣1+1=0
当x≠1时,f(x)<f(1),即f(x)<0
所以,当k<0时,函数f(x)的图象与直线y=k有两个交点,
(3)设![]()
![]()
当p=0时,
,F(x)在[1,2]递增,F(1)=﹣2<0不成立,(舍)
当p≠0时
当
,即﹣1<p<0时,F(x)在[1,2]递增,
F(1)=﹣2p﹣2<0,不成立当
,即p<﹣1时,F(x)在[1,2]递增,
所以F(1)=﹣2p﹣2≥0,解得p≤﹣1,
所以,此时p<﹣1当p=﹣1时,F(x)在[1,2]递增,成立;
当p>0时,F(1)=﹣2p﹣2<0不成立,
综上,p≤﹣1
练习册系列答案
相关题目