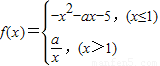
题目内容
已知函数A.-3≤a<0
B.-3≤a≤-2
C.a≤-2
D.a<0
【答案】分析:由函数f(x)上R上的增函数可得函数,设g(x)=-x2-ax-5,h(x)=
,则可知函数g(x)在x≤1时单调递增,函数h(x)在(1,+∞)单调递增,且g(1)≤h(1),从而可求
解答:解:∵函数
是R上的增函数
设g(x)=-x2-ax-5(x≤1),h(x)=
(x>1)
由分段函数的性质可知,函数g(x)=-x2-ax-5在(-∞,1]单调递增,函数h(x)=
在(1,+∞)单调递增,且g(1)≤h(1)
∴
∴
解可得,-3≤a≤-2
故选B
点评:本题主要考查了二次函数的单调性的应用,反比例函数的单调性的应用,主要分段函数的单调性应用 中,不要漏掉g(1)≤h(1)
解答:解:∵函数
设g(x)=-x2-ax-5(x≤1),h(x)=
由分段函数的性质可知,函数g(x)=-x2-ax-5在(-∞,1]单调递增,函数h(x)=
∴
∴
解可得,-3≤a≤-2
故选B
点评:本题主要考查了二次函数的单调性的应用,反比例函数的单调性的应用,主要分段函数的单调性应用 中,不要漏掉g(1)≤h(1)
练习册系列答案
相关题目