题目内容
已知函数f(x)=ex,(1)设函数F(x)=f(x)-g(x),讨论F(x)的极值点的个数;
(2)若-2≤a≤1,求证:对任意的x1,x2∈[1,2],且x1<x2时,都有
【答案】分析:(1)利用导数判断,先求函数F(x)的导数,令导数等于0,得到极值点,再判断极值点两侧导数的正负,若左正右负为极大值,若左负右正为极小值,极值点的个数为极大值的个数加极小值的个数.
(2)欲证
,用分析法,只需寻找成立的充分条件即可,最终找到只需证明
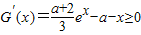
在x∈[1,2]上恒成立,再把
看成关于a的一次函数,当a∈[-2,1]时,两个端点函数值都大于0,所以当-2≤a≤1时,
恒成立,原命题成立
解答:解:(1)
,F'(x)=ex-a-x,F''(x)=ex-1,令F''(x)=0,得x=0
当x∈(-∞,0)时,F''(x)<0,从而F′(x)在(-∞,0上单调递减,
当x∈(0,+∞)时,F''(x)>0,从而F′(x)在(0,+∞)上单调递增,
所以F′(x)min=F′(0)=1-a,
当F′(x)min=1-a≥0,即a≤1时,F′(x)≥0恒成立,F(x)的极值点个数为0;
当F′(x)min=1-a<0,即a>1时,(又x→-∞,F′(x)→+∞,x→+∞,F′(x)→+∞)F(x)的极值点个数为2个
(2)证明:
?
?
?
在[1,2]上单调递增?
在x∈[1,2]上恒成立
令
,关于a是一次函数.
又H(-2)=2-x≥0,H(1)=ex-1-x≥0,(由F'(x)=ex-a-x≥1-a得)
所以
在x∈[1,2]上恒成立,所以,原命题成立.
点评:本题主要考查了利用导数求函数的极值,单调区间,属于导数的应用.
(2)欲证
解答:解:(1)
当x∈(-∞,0)时,F''(x)<0,从而F′(x)在(-∞,0上单调递减,
当x∈(0,+∞)时,F''(x)>0,从而F′(x)在(0,+∞)上单调递增,
所以F′(x)min=F′(0)=1-a,
当F′(x)min=1-a≥0,即a≤1时,F′(x)≥0恒成立,F(x)的极值点个数为0;
当F′(x)min=1-a<0,即a>1时,(又x→-∞,F′(x)→+∞,x→+∞,F′(x)→+∞)F(x)的极值点个数为2个
(2)证明:
令
又H(-2)=2-x≥0,H(1)=ex-1-x≥0,(由F'(x)=ex-a-x≥1-a得)
所以
点评:本题主要考查了利用导数求函数的极值,单调区间,属于导数的应用.
练习册系列答案
相关题目