题目内容
已知函数(1)求f(x)的最小值;
(2)证明:不等式
【答案】分析:(1)求导函数,确定函数的单调性,从而可求f(x)的最小值;
(2)只需证明
,即证
,构造g(x)=
,确定其单调性,可得结论.
解答:(1)解:∵
,∴
∴f(x)在(0,a)上递减,在(a,+∞)上递增
∴f(x)的最小值为f(a)=lna+1-a;
(2)证明:只需证明
,即证
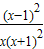
令g(x)=
,则g′(x)=
>0
∵x>1,∴g′(x)>0,∴g(x)在(1,+∞)上单调递增,
∴g(x)>g(1)=0,∴
故原不等式成立.
点评:本题考查导数知识的运用,考查函数的单调性,考查不等式的证明,确定函数的单调性是关键.
(2)只需证明
解答:(1)解:∵
∴f(x)在(0,a)上递减,在(a,+∞)上递增
∴f(x)的最小值为f(a)=lna+1-a;
(2)证明:只需证明
令g(x)=
∵x>1,∴g′(x)>0,∴g(x)在(1,+∞)上单调递增,
∴g(x)>g(1)=0,∴
故原不等式成立.
点评:本题考查导数知识的运用,考查函数的单调性,考查不等式的证明,确定函数的单调性是关键.
练习册系列答案
相关题目