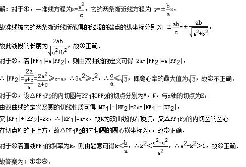
题目内容
.已知P是双曲线
的右支上一点,A1, A2分别为双曲线的左、右顶点,F1,F2分别为双曲线的左、右焦点,双曲线的离心率为
,有下列命题:
①双曲线的一条准线被它的两条渐近线所截得的线段长度为
;
②若
;
③
的内切圆的圆心横坐标为
;
④若直线PF1的斜率为![]()
其中正确的命题的序号是 。
![]()
解析![]()
练习册系列答案
相关题目
题目内容
.已知P是双曲线
的右支上一点,A1, A2分别为双曲线的左、右顶点,F1,F2分别为双曲线的左、右焦点,双曲线的离心率为
,有下列命题:
①双曲线的一条准线被它的两条渐近线所截得的线段长度为
;
②若
;
③
的内切圆的圆心横坐标为
;
④若直线PF1的斜率为![]()
其中正确的命题的序号是 。
![]()
解析![]()