题目内容
一个几何体的三视图及其尺寸如图所示,其中正(主)视图是直角三角形,侧(左)视图是半圆,俯视图是等腰三角形,则这个几何体的表面积是
.
![]()
【答案】
![]()
【解析】
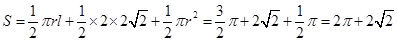
试题分析:该几何体的表面积
.
考点:三视图,空间几何体的表面积.
练习册系列答案
相关题目
题目内容
一个几何体的三视图及其尺寸如图所示,其中正(主)视图是直角三角形,侧(左)视图是半圆,俯视图是等腰三角形,则这个几何体的表面积是
.
![]()
![]()
【解析】
试题分析:该几何体的表面积
.
考点:三视图,空间几何体的表面积.