题目内容
已知函数f(x)=
x3-
(a+1)x2-4(a+5)x,g(x)=5lnx+
ax2-x+5,其中a∈R。
(Ⅰ)若函数f(x),g(x)有相同的极值点,求a的值;
(Ⅱ)若存在两个整数m,n,使得函数f(x),g(x)在区间(m,n)上都是减函数.求n的最大值,及n取最大值时a的取值范围。
(Ⅰ)若函数f(x),g(x)有相同的极值点,求a的值;
(Ⅱ)若存在两个整数m,n,使得函数f(x),g(x)在区间(m,n)上都是减函数.求n的最大值,及n取最大值时a的取值范围。
解:(Ⅰ)由已知得 f'(x)=x2-(a+1)x-4(a+5),
g'(x)=
+ax-1=
令
由①得x=-4或x=a+5,
由③知,只能a+5>0,即a>-5,
把x=a+5代人②,
解得a=0或a=-4或a=-6(舍去),
经检验,当a=0或a=-4时,函数f(x),g(x)有相同的极值点,
所以,a的值为0或-4;
(Ⅱ)由
得
得
,
设g'(x)<0,即ax2-x+5<0的解集为M,及 N=(0,a+5),
则由题意得区间(m,n)
M∩N,
令h(x)=ax2-x+5,
①当a<0时,因为h(0)=5>0,
故只能h(a+5)=a[(a+5)2-1] <0,
即a>-4或a<-6,又因为a>-5,
故-4<a<0,此时n≤a+5<5,
又m,n∈Z,所以m<n≤4,
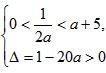
当且仅当
,即-1≤a≤
时,n可以取4,
所以,n的最大整数为4;
②当a=0时,M∩N=
,不合题意;
③当a>0时,因为,h(0)=5>0,
h(a+5)=a[(a+5)2-1]>0,
故只能
,无解,
综上,n的最大整数为4,此时a的取值范围为
。
g'(x)=
令
由①得x=-4或x=a+5,
由③知,只能a+5>0,即a>-5,
把x=a+5代人②,
解得a=0或a=-4或a=-6(舍去),
经检验,当a=0或a=-4时,函数f(x),g(x)有相同的极值点,
所以,a的值为0或-4;
(Ⅱ)由
设g'(x)<0,即ax2-x+5<0的解集为M,及 N=(0,a+5),
则由题意得区间(m,n)
令h(x)=ax2-x+5,
①当a<0时,因为h(0)=5>0,
故只能h(a+5)=a[(a+5)2-1] <0,
即a>-4或a<-6,又因为a>-5,
故-4<a<0,此时n≤a+5<5,
又m,n∈Z,所以m<n≤4,
当且仅当
所以,n的最大整数为4;
②当a=0时,M∩N=
③当a>0时,因为,h(0)=5>0,
h(a+5)=a[(a+5)2-1]>0,
故只能
综上,n的最大整数为4,此时a的取值范围为
练习册系列答案
相关题目
| π |
| 2 |
A、f(x)=2sin(πx+
| ||
B、f(x)=2sin(2πx+
| ||
C、f(x)=2sin(πx+
| ||
D、f(x)=2sin(2πx+
|