题目内容
如图,P是抛物线C:y=
x2上一点,直线l过点P并与抛物线C在点P的切线垂直,l与抛物线C相交于另一点Q,
(Ⅰ)当点P的横坐标为2时,求直线l的方程;
(Ⅱ)当点P在抛物线C上移动时,求线段PQ中点M的轨迹方程,并求点M到x轴的最短距离。
(Ⅰ)当点P的横坐标为2时,求直线l的方程;
(Ⅱ)当点P在抛物线C上移动时,求线段PQ中点M的轨迹方程,并求点M到x轴的最短距离。
解:(Ⅰ)把x=2代入
,得y=2,
∴点P坐标为(2,2),
由
, ① 得y′=x,
∴过点P的切线的斜率
=2,直线l的斜率kl=
,
∴直线l的方程为y-2=-
(x-2),即x+2y-6=0;
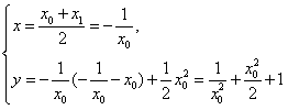
(Ⅱ)设
,则
,
∵过点P的切线斜率
=x0,当x0=0时不合题意,x0≠0,
∴直线l的斜率kl=
,
直线l的方程为
,②
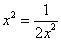
联立①②消去y,得
,
设
,
∵M是PQ的中点,
∴
,
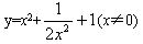
消去x0,得
就是所求的轨迹方程,
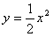
由x≠0知
,
∴
,
上式等号仅当
即
时成立,
所以点M到x轴的最短距离是
。
∴点P坐标为(2,2),
由
∴过点P的切线的斜率
∴直线l的方程为y-2=-
(Ⅱ)设
∵过点P的切线斜率
∴直线l的斜率kl=
直线l的方程为
联立①②消去y,得
设
∵M是PQ的中点,
∴
消去x0,得
由x≠0知
∴
上式等号仅当
所以点M到x轴的最短距离是
练习册系列答案
相关题目