题目内容
三角形的三个顶点是A(-1,0)、B(3,-1)、C(1,3)。
(Ⅰ)求BC边上的高所在直线的方程;
(Ⅱ)求BC边上的中线所在直线的方程;
(Ⅲ)求BC边的垂直平分线的方程。
(Ⅰ)求BC边上的高所在直线的方程;
(Ⅱ)求BC边上的中线所在直线的方程;
(Ⅲ)求BC边的垂直平分线的方程。
解:(Ⅰ)∵
,
∴BC边上的高所在直线的斜率
,
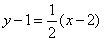
∴BC边上的高所在直线的方程为:
,即x-2y+1=0。
(Ⅱ)线段BC的中点坐标为(2,1),
∴BC边上的中线所在直线的方程为
,即x-3y+1=0。
(Ⅲ)BC边上的垂直平分线的斜率
,BC的中点坐标为(2,1),
∴BC边的垂直平分线的方程为:
,即x-2y=0。
∴BC边上的高所在直线的斜率
∴BC边上的高所在直线的方程为:
(Ⅱ)线段BC的中点坐标为(2,1),
∴BC边上的中线所在直线的方程为
(Ⅲ)BC边上的垂直平分线的斜率
∴BC边的垂直平分线的方程为:
练习册系列答案
相关题目