题目内容
已知
【答案】分析:由求导公式和法则求出导数,把x=1代入求出切线的斜率,并求出f(1),再代入点斜式方程再化为一般式.
解答:解:由题意得,
,
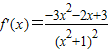
则
,且f(1)=2,
故切线方程为:
,
即x+2y-5=0.
点评:本题考查了导数的几何意义,即在某点处的切线的斜率是该点处的导数值,以及切点在曲线上,直线的点斜式和一般式的应用.
解答:解:由题意得,
则
故切线方程为:
即x+2y-5=0.
点评:本题考查了导数的几何意义,即在某点处的切线的斜率是该点处的导数值,以及切点在曲线上,直线的点斜式和一般式的应用.
练习册系列答案
相关题目