搜索
题目内容
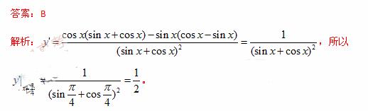
曲线
在点M(
,0)处的切线的斜率为
A.
B.
C.
D.
试题答案
相关练习册答案
练习册系列答案
金考卷单元专项期中期末系列答案
步步高大一轮复习讲义系列答案
毕业生暑期必读系列答案
名师金手指暑假生活系列答案
暑假乐园星球地图出版社系列答案
名校秘题全程导练系列答案
千里马走向假期期末仿真试卷寒假系列答案
新锐图书假期园地暑假作业中原农民出版社系列答案
暑假百分百期末暑假衔接总复习系列答案
假期学习乐园暑假系列答案
相关题目
求曲线
在点M(π,0)处的切线方程
.
求曲线
在点M(π,0)处的切线方程
.
曲线
在点M(
,0)处的切线的斜率为________________.
曲线
在点M(
,0)处的切线的斜率为( )
A.
B.
C.
D.
曲线
在点M(
,0)处的切线的斜率为( )
A.
B.
C.
D.
关 闭
试题分类
高中
数学
英语
物理
化学
生物
地理
初中
数学
英语
物理
化学
生物
地理
小学
数学
英语
其他
阅读理解答案
已回答习题
未回答习题
题目汇总
试卷汇总
练习册解析答案