题目内容
函数
【答案】分析:根据函数结构列条件:被开方式大于等于零、真数大于零,再解不等式组.
解答:解:由题意知
,
解得
,
所以
,
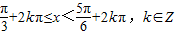
即函数的定义域为
,k∈Z,
故答案为
,k∈Z.
点评:该题考察函数定义域的求解,属中档题,做题时注意三角不等式的求解要注意:(1)数形结合;(2)三角函数具有周期性.
解答:解:由题意知
解得
所以
即函数的定义域为
故答案为
点评:该题考察函数定义域的求解,属中档题,做题时注意三角不等式的求解要注意:(1)数形结合;(2)三角函数具有周期性.
练习册系列答案
相关题目