题目内容

数列{an}满足a1=1,=,记Sn=,若S2n+1﹣Sn对任意的n(n∈N*)恒成立,则正整数t的最小值为(  )

 

A.

10

B.

9

C.

8

D.

7

解:∵=

∵a1=1,

是首项为1,公差为4的等差数列,

=4n﹣3,

∴Sn==+++…+

令 g(n)=S2n+1﹣Sn

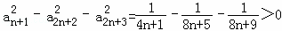
而g(n)﹣g(n+1)

=

为减数列,

所以:

而t为正整数,所以,tmin=10.

故选A.

练习册系列答案
相关题目

违法和不良信息举报电话:027-86699610 举报邮箱:58377363@163.com

精英家教网