题目内容
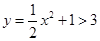
函数
的反函数是( )
(A)
.
(B)
.
(C)
. (D)
.
【答案】
D
【解析】
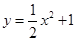
试题分析:求反函数,除了求解析式以外,还要求出定义域,即原函数的值域.由
得
,又
,所以
,另外当
时,
,
,因此所求反函数为D.
考点:求反函数.
练习册系列答案
相关题目