题目内容
(1)若f(x)+(2)若af(x)+bf(
)=cx,其中a、b、c为非零常数,a≠±b,求f(x).
解析:(1)用-x代替x,可得f(-x)+
,与原式联立成方程组可得?
![]()
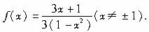
消去f(-x)可得:?
![]()
(2)用
代替x可得af(
)+bf(x)=c·
与原式联立成方程组可得
![]()
消去f(
)可得
.
练习册系列答案
相关题目
题目内容
(1)若f(x)+(2)若af(x)+bf(
)=cx,其中a、b、c为非零常数,a≠±b,求f(x).
解析:(1)用-x代替x,可得f(-x)+
,与原式联立成方程组可得?
![]()
消去f(-x)可得:?
![]()
(2)用
代替x可得af(
)+bf(x)=c·
与原式联立成方程组可得
![]()
消去f(
)可得
.