题目内容

已知椭圆的焦点为F1、F2,在长轴A1A2上任取一点M,过M作垂直于A1A2的直线交椭圆于P,则使得的M点的概率为( )
A.
B.
C.
D.
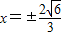
【答案】分析:当∠F1PF2=90°时,P点坐标为,由,得∠F1PF2≥90°.故的M点的概率.
解答:解:∵|A1A2|=2a=4,
设P(x,y),
∴当∠F1PF2=90°时,
解得,把代入椭圆
,得∠F1PF2≥90°.
∴结合题设条件可知使得的M点的概率=
故选C.
点评:作出草图,数形结合,事半功倍.
练习册系列答案
相关题目

违法和不良信息举报电话:027-86699610 举报邮箱:58377363@163.com

精英家教网