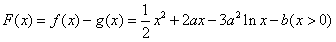
题目内容
已知定义在正实数集上的函数f(x)=
x2+2ax,g(x)=3a2lnx+b,其中a>0,设两曲线y=f(x),y=g(x)有公共点,且在该点处的切线相同。
(1)用a表示b,并求b的最大值;
(2)求证:f(x)≥g(x)(x>0)。
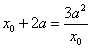
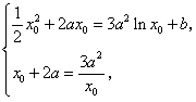
解:(1)设
与
公共点
处的切线相同
∵
,
,
由题意
,
即
由
得:
,或
(舍去)
即有
令
,则
于是,当
,即
时,
;
当
,即
时,
故
在
为增函数,在
为减函数,
于是
在
的最大值为
。
(2)设
,
则

故
在
为减函数,在
为增函数,
于是函数
在
上的最小值是
故当
时,有
,
即当
时,
。
∵
由题意
即
即有
令
于是,当
当
故
于是
(2)设
则
故
于是函数
故当
即当
练习册系列答案
相关题目