题目内容
已知函数f(x)=|x+2|-|x-1|.(Ⅰ)试求f(x)的值域;
(Ⅱ)设
【答案】分析:(1)将含有绝对值的函数转化为分段函数,再求分段函数的值域;
(2)恒成立问题转化成最小值最大值问题,即g(x)min≥f(x)max.
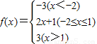
解答:解:(Ⅰ)函数可化为
,
∴f(x)∈[-3,3](5分)
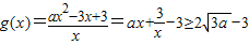
(Ⅱ)若x>0,则
,
即当ax2=3时,
,又由(Ⅰ)知
∴f(x)max=3(8分)
若对?s∈(0,+∞),?t∈(-∞,+∞),恒有g(s)≥f(t)成立,
即g(x)min≥f(x)max,
∴
,
∴a≥3,即a的取值范围是[3,+∞).(10分)
点评:将含参不等式恒成立问题等价转化为函数最值问题运用参数分离法使原不等式化为一端只含参数的解析式,另一端化为与参数无关的主变元函数,这样函数的关系就由“隐”化为“显”.
(2)恒成立问题转化成最小值最大值问题,即g(x)min≥f(x)max.
解答:解:(Ⅰ)函数可化为
∴f(x)∈[-3,3](5分)
(Ⅱ)若x>0,则
即当ax2=3时,
∴f(x)max=3(8分)
若对?s∈(0,+∞),?t∈(-∞,+∞),恒有g(s)≥f(t)成立,
即g(x)min≥f(x)max,
∴
∴a≥3,即a的取值范围是[3,+∞).(10分)
点评:将含参不等式恒成立问题等价转化为函数最值问题运用参数分离法使原不等式化为一端只含参数的解析式,另一端化为与参数无关的主变元函数,这样函数的关系就由“隐”化为“显”.
练习册系列答案
相关题目
已知函数f(x)=x2-bx的图象在点A(1,f(1))处的切线l与直线3x-y+2=0平行,若数列{
}的前n项和为Sn,则S2010的值为( )
| 1 |
| f(n) |
A、
| ||
B、
| ||
C、
| ||
D、
|