题目内容
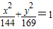
求与椭圆
【答案】分析:先求出椭圆的焦点,进而设出双曲线方程,再根据条件求出双曲线方程,即可得到结论.
解答:解:椭圆
的焦点是:(0,-5)(0,5),焦点在y轴上;
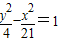
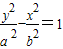
于是可设双曲线的方程是
,(a>0,b>0).
又双曲线过点(0,2)
∴c=5,a=2,
∴b2=c2-a2=25-4=21.
∴双曲线的标准方程为:
.
所以:双曲线的实轴长为4,焦距为10,离心率e=
=
.渐近线方程是y=±
x.
点评:本题主要考查双曲线的简单性质.是对双曲线基础知识的综合考查,属于基础题目.
解答:解:椭圆
于是可设双曲线的方程是
又双曲线过点(0,2)
∴c=5,a=2,
∴b2=c2-a2=25-4=21.
∴双曲线的标准方程为:
所以:双曲线的实轴长为4,焦距为10,离心率e=
点评:本题主要考查双曲线的简单性质.是对双曲线基础知识的综合考查,属于基础题目.
练习册系列答案
相关题目