题目内容
设函数f(x)=|x﹣2|+x.
(1)求函数f(x)的值域;
(2)若g(x)=|x+1|,求g(x)<f(x)成立时x的取值范围.
(1)求函数f(x)的值域;
(2)若g(x)=|x+1|,求g(x)<f(x)成立时x的取值范围.
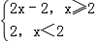
解:(1)f(x)=
,
故f(x)的值域为[2,+∞).
(2)∵g(x)<f(x),
∴|x+1|<|x﹣2|+x,
∴|x﹣2|﹣|x+1|+x>0,
①当x≤﹣1时,﹣(x﹣2)+(x+1)+x>0,
∴x>﹣3,
∴﹣3<x≤﹣1.
②当﹣1<x<2时,﹣(x﹣2)﹣(x+1)+x>0,
∴x<1,
∴﹣1<x<1.
③当x≥2时,(x﹣2)﹣(x+1)+x>0,
∴x>3,∴x>3.
综上,x∈(﹣3,1)∪(3,+∞).
故f(x)的值域为[2,+∞).
(2)∵g(x)<f(x),
∴|x+1|<|x﹣2|+x,
∴|x﹣2|﹣|x+1|+x>0,
①当x≤﹣1时,﹣(x﹣2)+(x+1)+x>0,
∴x>﹣3,
∴﹣3<x≤﹣1.
②当﹣1<x<2时,﹣(x﹣2)﹣(x+1)+x>0,
∴x<1,
∴﹣1<x<1.
③当x≥2时,(x﹣2)﹣(x+1)+x>0,
∴x>3,∴x>3.
综上,x∈(﹣3,1)∪(3,+∞).
练习册系列答案
相关题目
设函数f(x)的定义域为A,若存在非零实数t,使得对于任意x∈C(C⊆A),有x+t∈A,且f(x+t)≤f(x),则称f(x)为C上的t低调函数.如果定义域为[0,+∞)的函数f(x)=-|x-m2|+m2,且 f(x)为[0,+∞)上的10低调函数,那么实数m的取值范围是( )
| A、[-5,5] | ||||||||
B、[-
| ||||||||
C、[-
| ||||||||
D、[-
|