题目内容
已知函数(1)是否存在实数a,使函数f(x)是R上的奇函数,若不存在,说明理由,若存在,求函数f(x)的值域;
(2)探索函数f(x)的单调性,并利用定义加以证明.
【答案】分析:(1)由奇函数的性质有 f(0)=0,代入可求a,再利用奇函数的定义进行验证;
(2)任取x1,x2∈R,且x1<x2,则
,根据已知只要判断出函数值差的符号即可.
解答:解:(1)若f(x)是R上的奇函数,
则
,
而当a=1时,
的定义域为R,
且对x∈R,有
,
因此,存在a=1,使函数f(x)是R上的奇函数.
由
,
得
.
∵2x>0,
∴
故函数f(x)的值域为
.
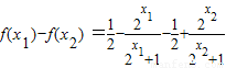
(2)设x1,x2∈R,且x1<x2,
则
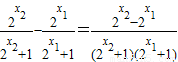
=
.
∵y=2x是R上的增函数,∴
,
又
,
∴f(x1)-f(x2)>0⇒f(x1)>f(x2),
因此f(x)是R上的减函数.
点评:本题主要考查了函数的单调性的定义在证明(判断)函数单调性中的简单应用,奇函数的性质f(0)=0(0在定义域内),属于基础试题
(2)任取x1,x2∈R,且x1<x2,则
解答:解:(1)若f(x)是R上的奇函数,
则
而当a=1时,
且对x∈R,有
因此,存在a=1,使函数f(x)是R上的奇函数.
由
得
∵2x>0,
∴
故函数f(x)的值域为
(2)设x1,x2∈R,且x1<x2,
则
=
∵y=2x是R上的增函数,∴
又
∴f(x1)-f(x2)>0⇒f(x1)>f(x2),
因此f(x)是R上的减函数.
点评:本题主要考查了函数的单调性的定义在证明(判断)函数单调性中的简单应用,奇函数的性质f(0)=0(0在定义域内),属于基础试题
练习册系列答案
相关题目