题目内容
如果执行框图,输入
,则输出的数等于( )
![]()
A.
B.
C.
D.![]()
【答案】
D
【解析】
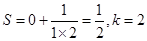
试题分析:第一次循环,
;第二次循环,
;第三次循环,
;第四次循环,
;第五次循环,
;此时
不满足条件,输出
,选D.
考点:算法与框图.
练习册系列答案
相关题目
如果执行框图,输入
,则输出的数等于( )![]()
| A. | B. | C. | D. |