题目内容
若θ是△ABC的一个内角,且A.
B.
C.tan2A+cot2A=7
D.
【答案】分析:先根据题设条件判断出sinθ>0,cosθ<0,进而可知sinθ-cosθ>0,进而利用同角三角函数基本关系利用
求得答案.
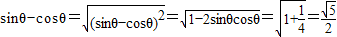
解答:解:∵
且cosθ<0
∴sinθ-cosθ>0,
∴
故选D
点评:本题主要考查同角三角函数基本关系的运用.解题时要注意对三角函数值正负号的判定.
解答:解:∵
∴sinθ-cosθ>0,
∴
故选D
点评:本题主要考查同角三角函数基本关系的运用.解题时要注意对三角函数值正负号的判定.
练习册系列答案
相关题目
若A是△ABC的一个内角,且sinA+cosA=
,△ABC的形状是( )
| 2 |
| 3 |
| A、锐角三角形 | B、直角三角形 |
| C、钝角三角形 | D、不确定 |