题目内容

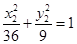
椭圆的弦被点平分,则此弦所在的直线方程是(    )

A.  B.  C.  D.

 

【答案】

D

【解析】

试题分析:由题意可设该弦所在直线的斜率为,若不存在则不合题意,则可设该所在的直线方程为,直线与椭圆的交点为,则,又,两式作差化简得,当时直线与轴平行,不合题意,所以有,解得,由点斜式可求得该弦所在直线方程为,所以正确答案为D.

考点:直线与椭圆关系

 

练习册系列答案
相关题目

违法和不良信息举报电话:027-86699610 举报邮箱:58377363@163.com

精英家教网