题目内容

设函数

(1)求函数的解析式;

(2)是否存在非负实数,使得恒成立,若存在,求出的值;若不存在,请说明理由;

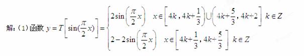
函数 ……4分

(2)……6分

时,则有恒成立.

时,当且仅当时有恒成立.

综上可知当时,恒成立;………………………8分

(3)① 当时,对于任意的正整数,都有

故有…13分

解得, 若将这些根从小到大排列组成数列

由此可得 .……………………17分

故数列所有项的和为:

.……18分

练习册系列答案
相关题目

违法和不良信息举报电话:027-86699610 举报邮箱:58377363@163.com

精英家教网