题目内容
观察下列等式:1=1 13=1
1+2=3 13+23=9
1+2+3=6 13+23+33=36
1+2+3+4=10 13+23+33+43=100
1+2+3+4+5=15 13+23+33+43+53=225
…
可以推测:13+23+33+…+n3= .(n∈N*,用含有n的代数式表示)
【答案】分析:根据所给等式,可以看出,等式左边各项幂的底数的和等于右边的幂的底数,故可推测结论.
解答:解:根据所给等式13=1213+23=32=(1+2)213+23+33=62=(1+2+3)213+23+33+43=102=(1+2+3+4)2…可以看出,
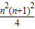
等式左边各项幂的底数的和等于右边的幂的底数推测:13+23+33+…+n3=(1+2+…+n)2=
故答案为:
点评:本题考查合情推理,解题的关键是根据所给等式,看出等式左边各项幂的底数的和等于右边的幂的底数.
解答:解:根据所给等式13=1213+23=32=(1+2)213+23+33=62=(1+2+3)213+23+33+43=102=(1+2+3+4)2…可以看出,
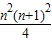
等式左边各项幂的底数的和等于右边的幂的底数推测:13+23+33+…+n3=(1+2+…+n)2=
故答案为:
点评:本题考查合情推理,解题的关键是根据所给等式,看出等式左边各项幂的底数的和等于右边的幂的底数.
练习册系列答案
相关题目