题目内容
一个棱锥的三视图如图所示,则该棱锥的全面积是 ( )
![]()
(A)
(B)
(C)
(D)![]()
【答案】
A
【解析】
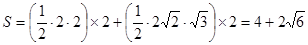
试题分析:根据三视图可知该棱锥为一个底面是等腰三角形,高为2的三棱锥,于是
,故选A.
考点:三视图、表面积计算
练习册系列答案
相关题目
题目内容
一个棱锥的三视图如图所示,则该棱锥的全面积是 ( )
![]()
(A)
(B)
(C)
(D)![]()
A
【解析】
试题分析:根据三视图可知该棱锥为一个底面是等腰三角形,高为2的三棱锥,于是
,故选A.
考点:三视图、表面积计算