题目内容

某跳水运动员在一次跳水训练时的跳水曲线为如图所示的抛物线一段,已知跳水板长为2m,跳水板距水面的高为3m,=5m,=6m,为安全和空中姿态优美,训练时跳水曲线应在离起跳点m()时达到距水面最大高度4m,规定:以为横轴,为纵轴建立直角坐标系.

(1)当=1时,求跳水曲线所在的抛物线方程;

(2)若跳水运动员在区域内入水时才能达到压水花的训练要求,求达到压水花的训练要求时的取值范围.

 

【答案】

(1);(2).

【解析】

试题分析:(1)由题意可以将抛物线的方程设为顶点式.由顶点(3,4),然后代入点可将抛物线方程求出;(2)将抛物线的方程设为顶点式,由点.将表示.跳水运动员在区域内入水时才能达到压水花的训练要求,所以方程在区间[5,6]内有一解,根据抛物线开口向下,由函数的零点与方程的根的关系,令,由,且可得的取值范围.

试题解析:(1)由题意知最高点为

设抛物线方程为,             4分

时,最高点为(3,4),方程为

代入,得

解得

时,跳水曲线所在的抛物线方程.      8分

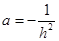
(2)将点代入

,所以.

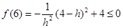
由题意,方程在区间[5,6]内有一解.      10分

,且.

解得.                          14分

达到压水花的训练要求时的取值范围.              16分

考点:1.抛物线的顶点式方程;2.函数的零点与方程的根.

 

练习册系列答案
相关题目

违法和不良信息举报电话:027-86699610 举报邮箱:58377363@163.com

精英家教网