题目内容
已知集合A={x|x2-4ax+2a+6=0,x∈R},集合B={x|x<0},若A∩B≠∅,求实数a的取值范围.
【答案】分析:(法1):由A∩B≠∅,可得方程x2-4ax+2a+6=0有负根,分类讨论,(1)恰有一个负根:(2)恰有2个负根,结合二次方程的性质可求
(法2):由x2-4ax+2a+6=0有负根可得以
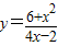
(x<0)有解,构造函数
(x<0),令t=4x-2<-2,换元得y=
=
,结合基本不等式可求y的范围,进而可求a的范围
解答:解:(法1):因为A∩B≠∅,所以方程x2-4ax+2a+6=0有负根;…(1分)
设方程的根为x1,x2
(1)恰有一个负根:
或
…(3分)
解得:
或
…(5分)
即a≤-3…(6分)
(2)恰有2个负根
…(7分)
解得:
…(8分)
即-3<a≤-1…(9分)
所以a的取值范围是{a|a≤-1}…(10分)
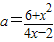
(法2):因为x2-4ax+2a+6=0有负根,所以
(x<0)有解,
设
(x<0),
令t=4x-2<-2,换元得y=
=
≤-1
所以a≤-1
点评:本题主要考查了二次方程的根的分布,方程的根与系数关系的应用,体现了分类讨论思想的应用,还要注意基本不等式在求解函数的值域中的应用.
(法2):由x2-4ax+2a+6=0有负根可得以
解答:解:(法1):因为A∩B≠∅,所以方程x2-4ax+2a+6=0有负根;…(1分)
设方程的根为x1,x2
(1)恰有一个负根:
解得:
即a≤-3…(6分)
(2)恰有2个负根
解得:
即-3<a≤-1…(9分)
所以a的取值范围是{a|a≤-1}…(10分)
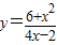
(法2):因为x2-4ax+2a+6=0有负根,所以
设
令t=4x-2<-2,换元得y=
所以a≤-1
点评:本题主要考查了二次方程的根的分布,方程的根与系数关系的应用,体现了分类讨论思想的应用,还要注意基本不等式在求解函数的值域中的应用.
练习册系列答案
相关题目