题目内容
已知等比数列满足:.(1)求数列的通项及前项和;(2)设,证明:对任意,且,都有.
解析
已知等比数列满足:,。
(I)求数列的通项公式;
(II)是否存在正整数,使得?若存在,求的最小值;若不存在,说明理由。
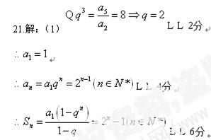
(本小题满分12分)已知等比数列满足。
(1)求数列的通项公式;
(2)设,,求数列的前项和。
已知等比数列满足,且是方程的两个实根,则当等于 ( )
A. B. C. D.
已知等比数列满足,且,则当时,( )
A. B. C. D.
已知等比数列满足,则( )